
销售咨询热线:185-5320-3831技术服务热线:156-6622-7678
文章来源:未知 时间:Nov 04, 2019
目录:
01. SIS与ESD、DCS、PLC傻傻分不清楚?看了这个才知道!
02. 仪表的“线制”学问有多深?
03. 4-20mA信号究竟能够传输多远?
04. 学仪表不懂工艺PID,硬伤得治!
05. 自动化仪表“沟通”的十一种“语言”!
06. SIS安全系统下,用户、设计院、厂家应该如何看待SIL认证!
07. 无需洪荒之力,九个步骤轻松判断DCS故障!
08. 化工仪表常用计算公式,你会几个?
正文:
01 SIS与ESD、DCS、PLC傻傻分不清楚?看了这个才知道!
SIS与ESD、DCS、PLC四者,在化工生产过程中,常常被误解,本文从四者最基本的概念,到四者之间具体的关系进行逐一讲解,帮助仪表人了解并掌握。
SIS与DCS之间的区别
SIS与DCS在石油、石化生产过程中分别起着不同的作用,如下图所示:生产装置从安全角度来讲,可分为3个层次:第一层为生产过程层,第二层为过程控制层,第三层为安全仪表系统停车保护层。

SIS与ESD之间的区别
SIS是系统化的概念,更关注整体性的概念,从命名就可以看出来,SIS关注回路,关注系统整体。安全型的现场检测器件(变送器,仪表,传感器)-> 安全型 A -》安全型控制器-安全型的DO -》安全型的现场执行器件(安全关断阀,泄压阀,保护器等)。
而ESD 通常是指,安全控制系统厂家生产的,安全型控制器,(CPU),IO,等纯控制系统的概念。
从本质上来讲,SIS 的硬件系统不光包括,SIS控制器及IO(例如 Triconex,HIMA,西门子400FH)。
还应包括所有跟控制器接口的其他输入部件,例如获得TUV SIL认证的传感器,变送器,检测装置;
还应该包括所有输出部件,如获得 TUV SIL认证的执行器(液压安全执行器,气动安全执行器,电动型安全执行器),
还应该有获得认证的现场设备。要求严格的现场,阀门本体也必须是有TUV 证书的。
例如核电厂的安全阀不光是锅炉与压力容器质检合格,还应该有核检证书,还应该有 TUV的安规证书,明确标明是SIL几等级。
ESD是生产厂家的安全性控制器用在不同的场合,根据不同的用途,有着这些不同的叫法,从理论上说,只有ESD,“未必” 会是个完整的SIS控制系统。ESD仅仅是 SIS中的一环,而且是在实体硬件中,是最重要的一环。
DCS与PLC之间的区别
1、从发展的方面来说:
DCS从传统的仪表盘监控系统发展而来。因此,DCS从先天性来说较为侧重仪表的控制,比如我们使用的YOKOGAWA CS3000 DCS系统甚至没有PID数量的限制(PID,比例微分积分算法,是调节阀、变频器闭环控制的标准算法,通常PID的数量决定了可以使用的调节阀数量)。
PLC从传统的继电器回路发展而来,最初的PLC甚至没有模拟量的处理能力,因此,PLC从开始就强调的是逻辑运算能力。
2、从系统的可扩展性和兼容性的方面来说:
市场上控制类产品繁多,无论DCS还是PLC,均有很多厂商在生产和销售。对于PLC系统来说,一般没有或很少有扩展的需求,因为PLC系统一般针对于设备来使用。一般来讲,PLC也很少有兼容性的要求,比如两个或以上的系统要求资源共享,对PLC来讲也是很困难的事。而且PLC一般都采用专用的网络结构,比如西门子的MPI总线性网络,甚至增加一台操作员站都不容易或成本很高。
DCS在发展的过程中也是各厂家自成体系,但大部分的DCS系统,比如横河YOKOGAWA、霍尼维尔、ABB等等,虽说系统内部(过程级)的通讯协议不尽相同,但操作级的网络平台不约而同的选择了以太网络,采用标准或变形的TCP/IP协议。这样就提供了很方便的可扩展能力。在这种网络中,控制器、计算机均作为一个节点存在,只要网络到达的地方,就可以随意增减节点数量和布置节点位置。另外,基于windows系统的OPC、DDE等开放协议,各系统也可很方便的通讯,以实现资源共享。
3、从数据库来说:
DCS一般都提供统一的数据库。换句话说,在DCS系统中一旦一个数据存在于数据库中,就可在任何情况下引用,比如在组态软件中,在监控软件中,在趋势图中,在报表中……而PLC系统的数据库通常都不是统一的,组态软件和监控软件甚至归档软件都有自己的数据库。为什么常说西门子的S7 400要到了414以上才称为DCS?因为西门子的PCS7系统才使用统一的数据库,而PCS7要求控制器起码到S7 414-3以上的型号。
4、从时间调度上来说:
PLC的程序一般不能按事先设定的循环周期运行。PLC程序是从头到尾执行一次后又从头开始执行。(现在一些新型PLC有所改进,不过对任务周期的数量还是有限制)而DCS可以设定任务周期。比如,快速任务等。同样是传感器的采样,压力传感器的变化时间很短,我们可以用200ms的任务周期采样,而温度传感器的滞后时间很大,我们可以用2s的任务周期采样。这样,DCS可以合理的调度控制器的资源。
5、从网络结构发面来说:
一般来讲,DCS惯常使用两层网络结构,一层为过程级网络,大部分DCS使用自己的总线协议,比如横河的Modbus、西门子和ABB的Profibus、ABB的 CAN bus等,这些协议均建立在标准串口传输协议RS232或RS485协议的基础上。现场IO模块,特别是模拟量的采样数据(机器代码,213/扫描周期)十分庞大,同时现场干扰因素较多,因此应该采用数据吞吐量大、抗干扰能力强的网络标准。基于RS485串口异步通讯方式的总线结构,符合现场通讯的要求。
IO的采样数据经CPU转换后变为整形数据或实形数据,在操作级网络(第二层网络)上传输。因此操作级网络可以采用数据吞吐量适中、传输速度快、连接方便的网络标准,同时因操作级网络一般布置在控制室内,对抗干扰的要求相对较低。因此采用标准以太网是最佳选择。TCP/IP协议是一种标准以太网协议,一般我们采用100Mbit/s的通讯速度。
PLC系统的工作任务相对简单,因此需要传输的数据量一般不会太大,所以常见的PLC系统为一层网络结构。过程级网络和操作级网络要么合并在一起,要不过程级网络简化成模件之间的内部连接。PLC不会或很少使用以太网。
6、从应用对象的规模上来说:
PLC一般应用在小型自控场所,比如设备的控制或少量的模拟量的控制及联锁,而大型的应用一般都是DCS。当然,这个概念不太准确,但很直观,习惯上我们把大于600点的系统称为DCS,小于这个规模叫做PLC。我们的热泵及QCS、横向产品配套的控制系统一般就是称为PLC。
说了这么多PLC与DCS的区别,但我们应该认识到,PLC与DCS发展到今天,事实上都在向彼此靠拢,严格的说,现在的PLC与DCS已经不能一刀切开,很多时候之间的概念已经模糊了。
现在,我们来讨论一下彼此的相同(似)之处。
1)从功能来说:
PLC已经具备了模拟量的控制功能,有的PLC系统模拟量处理能力甚至还相当强大,比如横河FA-MA3、西门子的S7 400、ABB 的ControlLogix 和施耐德的Quantum系统。而DCS也具备相当强劲的逻辑处理能力,比如我们在CS3000上实现了一切我们可能使用的工艺联锁和设备的联动启停。
2)从系统结构来说:
PLC与DCS的基本结构是一样的。PLC发展到今天,已经全面移植到计算机系统控制上了,传统的编程器早就被淘汰。小型应用的PLC一般使用触摸屏,大规模应用的PLC全面使用计算机系统。和DCS一样,控制器与IO站使用现场总线(一般都是基于RS485或RS232异步串口通讯协议的总线方式),控制器与计算机之间如果没有扩展的要求,也就是说只使用一台计算机的情况下,也会使用这个总线通讯。但如果有不止一台的计算机使用,系统结构就会和DCS一样,上位机平台使用以太网结构。这是PLC大型化后和DCS概念模糊的原因之一。
3)PLC和DCS的发展方向:
小型化的PLC将向更专业化的使用角度发展,比如功能更加有针对性、对应用的环境更有针对性等等。大型的PLC与DCS的界线逐步淡化,直至完全融和。
DCS将向FCS的方向继续发展。FCS的核心除了控制系统更加分散化以外,特别重要的是仪表。FCS在国外的应用已经发展到仪表级。控制系统需要处理的只是信号采集和提供人机界面以及逻辑控制,整个模拟量的控制分散到现场仪表,仪表与控制系统之间无需传统电缆连接,使用现场总线连接整个仪表系统。(目前国内有横河在中海壳牌石化项目中用到了FCS,仪表级采用的是智能化仪表例如:EJX等,具备世界最先进的控制水准)。
02 仪表的“线制”学问有多深?
既然有二线制、三线制和四线制之分,那么这些接线之间,可以互相更换接线方式吗?下面一起看看,如何二线改四线,四线改二线?
从上述可知各种线制变送器都能存在,那总是有存在的理由,否则就不会有那么多的线制了,由用户来改动线制是很困难的,再者实际意义也不大。
如果要把传输信号为0-10mA.DC的四线制变送器改为二线制,首先遇到的问题,就是其起始电流为零,在电流为零状态下,变送器的电子放大器是无法建立工作点的,因此将难于正常工作。如果用直流电源,并保证仪表原来的恒流特性,当变送器在负载电阻为0-1.5KΩ时,与其串联的反馈动圈电阻2KΩ左右,当输出为10mA时,这两部分的电压降将大于24V,也就是说用24V.DC供电,负载为0-1.5KΩ时,要保证恒流特性是不可能的,也就谈不上用两线制传输了。
四线制转二线制原理
一、正向输出(1、3短接,2接6,4接5,输出5、6端)
1 -●
24VDC
2 +○ ○+ 6
发送端 接收端 4-20mA
4 +● ●- 5
4-20mA
3 -○
二、反向输出(2、6短接,1接3,4接5,输出3、4端)
1 -● ○- 3
24VDC
2 +○
发送端 接收端 4-20mA
6 +●
4-20mA
5 -○ ●+ 4
03 4-20mA信号究竟能够传输多远?
我国电气自动化仪表从技术发展角度分类,主要分为DDZ-Ⅰ型、DDZ-Ⅱ型、DDZ-Ⅲ型和DDZ-S型等几个类型,目前基本上都是电3型和电4型仪表,分别是指DDZ-Ⅲ型和DDZ-S型。4-20mA电流信号究竟能够传输多远?
4-20mA电流信号的传输距离主要与以下几个因素有关:
1. 信号的激励电压Ue;
2. 仪表的最低工作电压Umin;
3. 接收设备的负载(采样)电阻RL;
4. 导线电阻r。

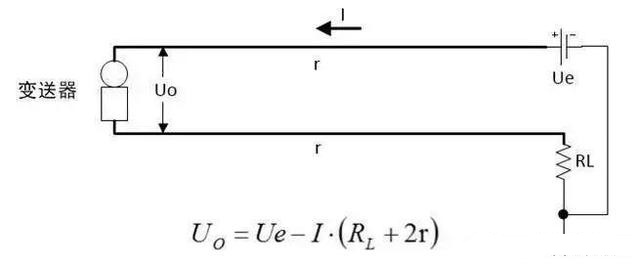
二线制变送器电流信号传输回路
其中,Uo是变送器的供电电压,必须在满载时(电流I=20mA)保证Uo≥Umin。
即:

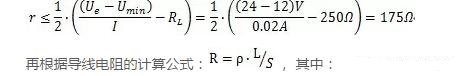
根据这个公式,可以计算出在变送器处于最低工作电压时,最大的导线电阻。假设:
已知:Ue=24V,I=20mA,RL=250Ω,Umin=12V。求出r的最大值为175Ω:

ρ——电阻率(铜电阻率=0.017,铝电阻率=0.029)
L——线的长度(单位:米)
S——线的截面(单位:平方毫米)
注:电阻值与长度成正比,与截面积成反比。导线越长,电阻越大, 导线越粗,电阻越小。
以铜线为例,ρ= 0.017 Ω·mm2/m,即:横截面积1mm2,长度1m的铜线电阻为0.017Ω。那么175Ω对应1mm2的导线长度为175/0.017=10294(米)。
因此,理论上4-20mA信号传输可达上万米(根据不同激励电压和变送器的最低工作电压等因素而定)。
04 学仪表不懂工艺PID,硬伤得治!
对工艺车间的任一工艺流程都离不开仪表系统的检测、记录及其控制。因为工艺车间的每一道工艺,每一个参数都是在仪表的控制下工作,只有在适当的工艺流程中安装仪表,才能窥视整个工序的运行是否正常。因为仪表在工艺车间具有“人眼”的功能,因此可以说,工艺生产的实现,要靠先进的设备和仪表来完成。本文重点讲解工艺人员和仪表人员共同完成的工艺管道流程图,来帮助工艺和仪表人员互相学习,促进工作。
PID图中设备画法 :
编号,比方E-1由三台换热器并联操作,其编号分别为E-1A,E-1B,E-1C(或E-1A/B/C);如P-1为两台泵(一台操作,一台备用),其编号为P-1A,P-1B(或P-1A/B)。
用细实线画出装置全部操作和备用的设备,在设备的邻近位置(上下左右均可)注明编号(下画一粗实线)、名称及主体尺寸或重要特性编号及名称应与工艺流程图相一致,编号要领与"工艺流程图"划定相同但同一作用的设备由多台构成(或备用)时,可在编号数字后加A,B,C。
设备的主体尺寸或特性的标注要领按不同外型或特性划定如下:
a) 立式圆筒型:内径ID×切线至切线高T/T,mm,
b) 卧式圆筒型:内径ID×切线至切线长T/T,mm,
c) 长方型:长×宽×高,mm,
d) 加热及冷换设备:标注编号、名称及其特性(热负荷、及传热面积)
e) 机泵, 设备大小可不按比例画,但应有相对大小的观点,有位差要求的设备,应表现其相对高度位置,
比如;热旁路控制流程中的冷凝器和回流罐;设备内部构件的画法与PFD图划定要求相同,相同作用的多台设备应全部予以表现,并按生产历程的要求表现其并联或串联的操作方法。对某些必要满足泵的汽蚀余量或介质自流要求的设备应标注其距离地面的高度,一般塔类和某些容器均有此要求。对付落地的立式容器,该尺寸要求也可直接表现在有关数据表设备简图中 。
PID图中管道画法 :
1、装置内所有操作、开停车及事故处置等管道及其阀门均应予表现,并用箭头表现管内物料的流向。重要操作管道用粗实线表现,备用管道、开停工及事故处置管道、其他辅助管道均用细实线表现。
2、装置内的吹扫管线、污油排放及放空管道只需画出其重要的管道及阀门,并表现其与设备或工艺管道连接的位置
3、装置内公用工程(水、蒸汽、燃料、密封油、冲洗油、化学药剂等)可分不同系统按上述要求绘制公用工程的“管道及仪表流程图”。各种物料一般在使用时所在图纸用短实线示意,并标注物料的名称,但对其所采用的仪表和阀门不得重复表现(一般只表现在公用工程PID中)。
4、管道的编号及标注要领:应凭据装置的部门号和管内物料的属性分别按流程次序编号,即每一种介质应分别次序编号,容许中心有预留号,如:工艺管道(代号P)中不同属性物料管道之间可以留有空号同一物料流经多台不同功效的设备时,每经一台或一组设备后新编一个管号。
仪表的画法:
应画出装置全部控制、测量、记载、指示、联锁等仪表。
所有仪表均应分类编号,成套供应设备可与仪表专业协商确定编号原则
代号和图例。
应将设备、管道、仪表等的代号和图例同一画在一张图上,作为"管道及仪表流程图"的一张图编档案号,一般均作为PID的第一张图。
05 自动化仪表“沟通”的十一种“语言”!
每个仪表都有自己独特的通讯协议,常见的有modbus通讯协议 、RS-232通讯协议、RS-485通讯协议 、HART通讯协议等等,那么这些通讯协议究竟是怎么工作的,有哪些优缺点呢?本文将重点介绍目前常见的几种通讯协议!帮助仪表人学习。
通讯协议分类
常用的仪表通讯协议有:
modbus通讯协议
RS-232通讯协议
RS-485通讯协议
HART通讯协议。
MPI通信
串口通信
PROFIBUS通信
工业以太网
ASI通信
PPI通信
远程无线通信
TCP
UDP
S7
profibus
pofinet
MPI
PPI
Profibus-DP
Devicenet
Ethernet
06 SIS安全系统下,用户、设计院、厂家应该如何看待SIL认证!
自安监局116号文件后,SIS安全系统也成了仪表厂家与仪表用户的话题,对于仪表厂家来说,SIS系统下仪表如何选型?是问题;对于仪表用户来说,什么情况下需要上SIS是问题?是问题!
SIS安全仪表系统在功能和规范上有诸多要求在安全认证上也是如此,如TUV和SIL认证,TUV属于德国莱茵认证,产品取得TUV 标志认证,表明该产品已经通过TUV 南德或TUV莱茵独立的测试和工厂审查,证明该产品满足相关欧洲或国际标准的安全要求。
TUV 标志在欧洲乃至全球受到生产厂商和各国认证机构的广泛认可;
SIL英文全称:Safety integrity Level——安全完整性等级,是新引进的标准,SIL认证,国际上公认的一种功能安全认证,是根据国际电工委员会IEC颁布的功能安全标准IEC 61508(已转化为国标GB/T 20438归口标委会SAC/TC124/SC10)中对相关产品进行考核的认证的要求。需要做SIL认证的产品,都是使用可能对人、环境或财产造成较高危害的场合,考核的主要目的也是,不能因为产品本身的功能问题,引起人员的伤害、环境污染和财产损失。
现在国内化工企业对于SIL或者TUV基本上是知之甚少,导致了安监局让做安全系统的时候手忙脚乱,根本不知在哪里入手。
07 无需洪荒之力,九个步骤轻松判断DCS故障!
DCS系统在工业生产过程的广泛应用,使可靠性、稳定性问题更加突出,也使人们对整个系统要求越来越高。人们希望DCS系统尽量少出故障,又希望DCS系统一旦出现故障,能尽快诊断出故障部位,并尽快修复,使系统重新工作。下面简单介绍故障大体分类及故障诊断的一般方法。
DCS系统故障诊断步骤:
DCS系统一旦出现故障,正确分析和诊断故障发生的部位是当务之急。故障的诊断就是根据经验,参照发生故障的环境和现象,来确定故障的部位和原因。这种诊断方法因DCS系统产品不同而有一定差别。
1)是否为使用不当引起的故障。这类故障常见的有供电电源错误、端子接线错误、模板安装错误、现场操作错误等。
2)是否为DCS系统操作错误引起的故障。这类故障常见的有某整定参数整定错误、某设定状态错误造成的。
3)确认是现场仪表设备故障还是DCS系统故障。若是现场一次仪表故障,修复相应现场仪表。
4)若是DCS系统本身的故障,应确认是硬件毛病或是软件故障。
5)若是硬件故障,找出相应的硬件部位,更换模板。
6)若是软件故障,还应确认是系统软件或是应用软件故障。
7)若是系统软件有故障,可重新启动看能否恢复,或重新装载系统软件重新启动。
8)若是应用软件故障,可检查用户编写的程序和组态的所有数据,找出故障原因。
9)利用DCS系统的自诊断测试功能,DCS系统的各部分都设计有相应的自诊断功能,在系统发生故障时一定要充分利用这一功能,来分析和判断故障的部位和原因。
08 化工仪表常用计算公式,你会几个?
在仪表维修、调校中都会遇到仪表刻度的换算问题。仪表刻度的换算关系有:变送器测量参数与输出信号的换算,显示仪表输入信号与显示值的换算,仪表刻度换算实质就是仪表信号值与测量之间的换算。如何正确计算出确定的温度,压力,液位和流量对我们安全生产至关重要,那么本文重点为圈友分享仪表常用的一些计算公式,帮助大家快速获取所需量。
(1)测量开口容器液位计算公式
测量开口容器液位时,压力计通过取压管与容器底侧相连,即测量容器液位上部与液位底部的静压力,由测压仪表的压力指示值,可间接知道液位的高度,即:
H=P/ρg
式中:H——液位的高度;
P——测压仪表的指示值;
ρ——液体的密度;
g——重力加速度;
以上关系是成立的条件是:压力计的测量基准点与最低液位应一致,如果不在同一水平面,必须减去相应高度的一段液柱差。
(2)测量密封容器液位计算公式
测量密封容器液位时,其上、下部的压力只差是恒量液位高低的尺度,但是液位高度还收到容器内介质压力的影响,即:

在实际应用中,为了消除容器内压力的影响,就在容器的上部增加一根取样管,来测量容器内液位底部与液位上部的压力差,这样就等于把容器内压力值减去了,即:

上一条:工控仪器仪表选型宝典,还不来看?


