
销售咨询热线:185-5320-3831技术服务热线:156-6622-7678
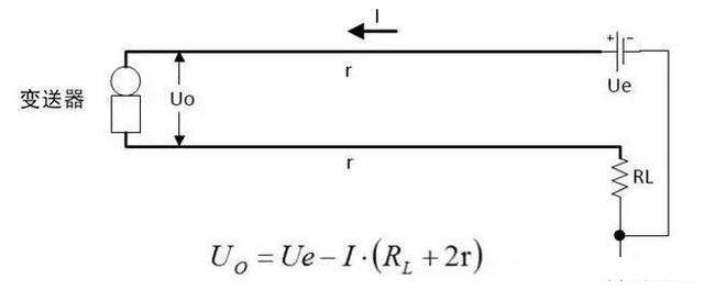
今天,小编给大家收集了很多仪表的图片,内容还包括了仪器的常见故障现象描述,故障原因的分析以及如何处理故障的办法解析,属于仪表圈中的经典重点内容,值得大家收藏哦!...
华为的紧急备战让很多产业人士形成了强烈的危机意识。那么除了半导体设备,在装备制造业领域还有哪些领域中国仍然受制于人,甚至是严重受制? 分析实验仪器领域几乎空白 最近...
中商情报网讯:测量测试仪器仪表是用于检测、测量、观测、计算各种物理量、物质成分、物性参数等的器具或设备,具有检测测量、信号传递和数据处理等功能,是信息采集、测量、...
1、文字镜像如何设置转动与不转动? A、在镜像前,输入MIRRTEXT指令 B、输入新值0 代表不转动;输入新值1代表转动 C、MIRRTEXT指令完成后,输入MI镜像指令就OK了 2、CAD的版本转换 A、CA...
CAD绘图技巧 一、基础很重要。 实践证明,手工图板绘图能力是计算机绘图能力的基础,学习 CAD,需要一定的画法几 何的知识和能力,需要一定的识图能力,尤其是几何作图能力,一般...
机器人和人类抢工作机会的话题一直在继续,那么机器人到底能从事些什么工作呢?分享一波工业机器人现场工作的动图,带大家去了解机器人。只有先了解,才能放下心里包袱。 ▼汽...
一、 工程概况: 1.1、 名称:易通热电调度中心供热监控系统、灵山湾文体中心供热站电气设备及数据远传、 自控系统。 1.2、 承包范围:易通热电调度中心供热监控系统、灵山湾文体...
1892年 12月6日西门子逝世 。 他被誉为电气时代的推动者,德国电子电气之父。他创办了西门子公司。他改进了直流发电机,被认为是人类电气时代的开始。 他还发明了平炉炼钢法、电...
一、开关量 开关量也称逻辑量,指仅有两个取值,0或1、ON或OFF。它是最常用的控制,对它进行控制是PLC的优势,也是PLC最基本的应用。 开关量控制的目的是,根据开关量的当前输入组...
城市集中供热信息管理调度及自动化控制系统对于保证供热系统优质供热、安全运行、经济节能、环境保护具有十分重要的作用。一个先进完善的供热控制方案,通过自动控制使热损失...
一、为什么需要维护 1、为了延长使用寿命; 2、为了设备运行的稳定性; 3、这也是5S的一种体现。 二、不维护容易出现的问题 电柜太脏会设备短路,打弧,烧坏设备; 电柜风扇过滤...
目录: 01. SIS与ESD、DCS、PLC傻傻分不清楚?看了这个才知道! 02. 仪表的线制学问有多深? 03. 4-20mA信号究竟能够传输多远? 04. 学仪表不懂工艺PID,硬伤得治! 05. 自动化仪表沟通的十一...


